Зональный клапан что это
Зональные клапаны для отопления
В частных домах, где нет централизованного теплоснабжения и люди ставят собственную котельную, можно использовать зональные клапаны, которые будут помогать теплоносителю (воде) циркулировать по всему зданию и сохранять определенную температуру в каждом помещении по отдельности.
Чтобы лучше понять, как работают эти системы, взгляните на рисунок ниже:
Изображен двухэтажный частный дом с зоной А и зоной Б. Они управляются отдельными термостатами и по расписанию индивидуально задают желаемую температуру на своих этажах. Когда настройки термостата определяют, что пора нагреть комнату, он посылает электрический сигнал на запорную арматуру с электроприводом, чтобы открыть поток горячей воды в эту зону. Затем вода протекает через систему, нагревая зону, пока не будет достигнута температура для соответствующего термостата. После чего термостат посылает ещё один электрический сигнал на зональный клапан и он закрывается.
Часто, вместо зональных клапанов используют шаровые краны с электроприводом, так как они долговечны, медленно закрываются (предотвращают гидравлический удар), характеризуются низким энергопотреблением и высокой надежностью. Или даже электромагнитные клапаны. Но это уже как кому больше нравится, в отоплении могут применяться любые технические решения.
Рекомендуемое установочное положение зонального клапана сразу после котла и циркуляционного насоса (горячая сторона) или в конце контура зоны (холодная сторона). А для индивидуального термостата рекомендуемое установочное положение вдали от непосредственного источника тепла в этой зоне. При таких установках ваша система будет работать максимально эффективно.
А зональный клапан это особый тип клапан используется для управления потоком воды или же пар в гидронный система отопления или охлаждения.
Такое зонирование можно осуществить одним из двух способов:
Содержание
Конструкция и работа зонного клапана
Зональные клапаны, используемые в домашних гидронных системах, обычно имеют электропитание. В крупных коммерческих установках, вакуум или же сжатый воздух может использоваться вместо этого. В любом случае двигатель обычно соединяется с водяным клапаном через механическую муфту.
Для электрических зонных клапанов двигатель часто представляет собой небольшой синхронный двигатель с расщепленными полюсами в сочетании с поворотным переключателем, который может отключить двигатель в любой из двух точек остановки («клапан открыт» или «клапан закрыт»). Таким образом, подача питания на клемму «открытый клапан» заставляет двигатель работать до тех пор, пока клапан не откроется, а подача питания на клемму «закрыть клапан» заставляет двигатель работать до тех пор, пока клапан не закроется. Двигатель обычно питается от тех же 24 вольт ac источник питания, который используется для остальной части системы управления. Это позволяет напрямую управлять зонными клапанами с помощью низкого напряжения. термостаты и разводка низковольтной проводкой. Этот тип клапанов требует использования SPDT термостат или реле.
Зональные клапаны также могут быть построены с использованием парафиновые моторы и механизм с пружинным возвратом. В этом случае клапан обычно закрывается силой пружины, но может быть открыт силой воскового двигателя. При отключении электроэнергии клапан снова закрывается. Этот тип зонного клапана работает с совершенно обычным SPST термостат.
Для зонных клапанов с вакуумным или пневматическим управлением термостат обычно включает или выключает давление или вакуум, вызывая подпружиненный резиновая диафрагма для перемещения и приведения в действие клапана. В отличие от электрических зонных клапанов, эти клапаны автоматически возвращаются в положение по умолчанию без приложения энергии, а положение по умолчанию обычно «открыто», позволяя теплу течь.
Сложные системы могут использовать некоторую форму автоматизация зданий Такие как BACnet или же LonWorks для управления зонными клапанами.
Сравнение с несколькими циркуляционными насосами
Несколько зон можно реализовать с использованием либо нескольких циркуляционных насосов с индивидуальным управлением, либо одного насоса и нескольких зонных клапанов. У каждого подхода есть свои преимущества и недостатки.
Система с несколькими насосами
Система зональных клапанов
Зональное регулирование с помощью зональных клапанов.
Системами с зональным регулированием называются системы, в которых производится автоматическое регулирование климатических параметров позонно, в зависимости от управляющего органа управления зоны (контроллера или термостата). Каждая зона может быть активной или неактивной независимо от других зон. С помощью такого принципа легко добиться деления помещения на зоны дневного и ночного использования, либо на зоны которые используются время от времени, а также зоны постоянного использования. При этом каждая зона снабжена своим контроллером или комнатным термостатом с таймером, на котором устанавливается желаемая температура в тот или иной отрезок времени в указанном помещении.
Наиболее простая схема представляет собой комнатный термостат, связанный с регулирующим зональным клапаном при помощи электропривода. Клапан открывает, либо закрывает поток теплоносителя в пределах одной зоны отопления. Таким образом достигается требуемый тепловой поток в помещении, что в свою очередь, ведет к достижению наибольшего температурного комфорта и экономии тепла.
Зональный клапан, без сомнения, является наиболее часто используемым контролирующим устройством в системе коммунального и промышленного тепло и водоснабжения. Обычно несколько таких клапанов устанавливаются после (со стороны подачи) циркуляционного насоса системы, как показано на рис. 1
Согласно расчетным условиям нагрузки, все отапливаемые зоны теоретически должны нуждаться в тепле и, таким образом, все зональные клапаны должны открываться одновременно.
В соответствии с потребностями системы существует три типа зональных клапанов:
1 Двухходовые линейные клапаны
2 Трехходовые клапаны с L-образным проходом, предназначенные для переключения потока снизу направо или налево, а также справа или слева вниз.
3 Трехходовые клапаны с байпасом.
Схема с зональным регулированием, в которой применяются исполнительные механизмы различного типа (рис.2):
Приведенная здесь схема представляет собой пример регулирования двух независимых зон, на разных этажах здания. Принцип регулирования данных зон одинаков, однако, реализация этого принципа разная:
Зона A. Представляет собой ветку с небольшой нагрузкой. Она снабжена двухходовым клапаном, который ограничивает проток теплоносителя первичного контура, вызванный работой циркуляционного насоса (данная схема характеризуется пологой регулировочной кривой); для уменьшения влияния данной зоны на поток теплоносителя через другие зоны необходимо устанавливать дифференциальный клапан, который в данном случае играет роль автоматического байпаса.
Зона В. Является более нагруженной и имеет большее гидравлическое сопротивление. В этом случае опытный инсталлятор устанавливает на вторичный контур трехходовой клапан. Это решение позволяет поддерживать постоянный проток через данную часть системы отопления при переменном напоре насоса. Это особенно важно, когда рабочая кривая насоса очень крутая и гидравлическое сопротивление системы высоко.
С точки зрения надежности более оправдано применение двухходовых зональных клапанов.
Однако, необходимо учитывать следующие моменты:
1) избегайте ситуаций когда, остается только одна зона с открытым клапаном; в этом случае весь поток теплоносителя протекает через эту единственную зону, что приводит к возрастанию скорости теплоносителя на данном участке системы отопления, и как следствие, к возникновению гидравлического шума.
2) используйте зональные трехходовые клапаны с коротким временем закрытия; в этом случае сводится к минимуму риск разбалансировки системы и возникновения гидравлического шума.
3) автоматика системы должна прекращать работу насоса в момент когда зональный клапан закрывается; в этом случае также практически полностью отсутствуют гидравлические шумы, и наблюдается небольшая разбалансировка системы, которая происходит в момент остановки циркуляционного насоса.
На рисунке 3 представлена электрическая схема подключения зональных клапанов. В этом случае используется контроллер, регулирующий работу насоса для поддержания фиксированного падения температуры в распределительной системе. При закрытых зональных клапанах распределительная система выделяет меньше тепла, а следовательно, снижается температура на участке от подающего коллектора к возвратному. Температурные датчики контроллера насоса чувствуют это изменение в процессе его образования и снижают скорость насоса в соответствии со снижением температуры. Преимущество данной системы состоит в том, что насос работает только тогда, когда зональные клапаны находятся в открытом состоянии. Когда зональные клапаны находятся в процессе закрытия, микровыключатель отсекает питание от насоса, до тех пор, пока клапан окончательно не перейдет в закрытое положение.
Зональные клапаны с управлением от термостатов (рис.4) (без микропереключателей) обычно устанавливаются на двунаправленном коллекторе, данный коллектор предназначен для панельных систем отопления, эти клапаны ограничивают проток теплоносителя во избежание превышения его допустимой температуры. Данное решение, безусловно, позволяет избежать проблемы перегрева помещения при отключенном комнатном термостате (режим паразитной циркуляции), когда при закрытом зональном клапане возникает проток теплоносителя в указанную зону.Кроме того, используя трехходовые зональные клапаны, мы можем избежать установки дифференциального клапана байпаса с его последующей калибровкой на открытие и обеспечение минимального протока насоса, в момент, когда все зональные клапаны закрыты.
Особенности применения схем с зональным регулированием:
Любое вмешательство в работу каждой из зон приводит к нарушению стабильных условий работы системы в целом и к изменению величин напора и протока в каждой из зон.
Остались вопросы? Не стесняйтесь задавать их: ФОРМА ОБРАТНОЙ СВЯЗИ
Список литературы:
Подпишитесь на нашу емей рассылку и всегда будьте в курсе последних поставок и новостей
Когда закрыты зональные клапаны
Наиболее оптимальным решением для контроля избыточного давления при закрытых зональных клапанах является снижение скорости циркуляционного насоса. Зональный клапан, без сомнения, является наиболее часто используемым контролирующим устройством в системе коммунального и промышленного водоснабжения. Обычно несколько таких клапанов устанавливаются после (со стороны подачи) циркуляционного насоса системы, как показано на рис. 1.
Рис. 1. Установка зональных клапанов в гидравлическую сеть
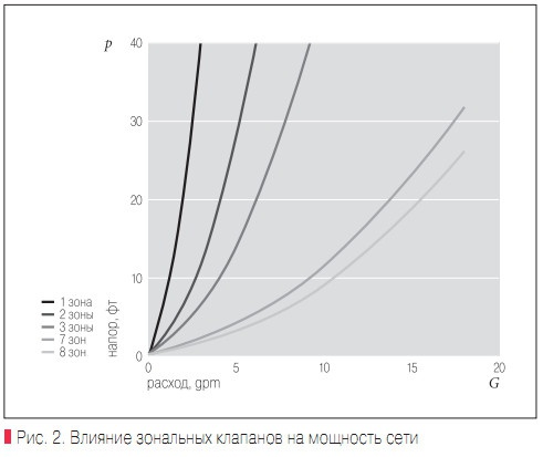
Рис. 2. Влияние зональных клапанов на мощность сети
Рис. 3. Рабочая кривая насоса и кривая гидросопротивления сети
Рис. 4. Рабочие кривые насосов различной напорности
Рис. 5. Установка перепускного клапана в систему водоснабжения
Рис. 6. Контроль избыточного давления в гидравлической сети
Согласно расчетным условиям нагрузки, все отапливаемые зоны теоретически должны нуждаться в тепле и, таким образом, все зональные клапаны должны открываться одновременно. В таком режиме наблюдается максимально низкое сопротивление потоку в распределительной системе. Это как многополосная автомагистраль, где все полосы открыты. Как только зональные термостаты достигнут заданного значения и соответствующие клапаны будут закрыты, сопротивление потоку в распределительной системе возрастет.
Общий расход системы снижается, однако расход через каждый открытый зональный контур возрастает. Некоторые полосы магистрали теперь заблокированы и просто невозможно пропустить такое же количество трафика, даже если движение по каждой полосе будет немного быстрее. Кривая мощности распределительной системы возрастает (делается круче) всякий раз, когда зональные клапаны закрыты.
Это показано на рис. 2 (система имеет несколько идентичных контуров напольного отопления, контролирумых отдельными зональными клапанами). Согласно законам гидравлики, все гидравлические системы постоянно ищут равновесия между механической энергией (напор), производимой циркуляционным насосом, и потерями напора вследствие трения потока жидкости в магистрали.
Если изображать графически, то система всегда работает в точке пересечения кривой системы (мощности) и рабочей кривой насоса, как показано на рис. 3. Для того, чтобы определить расход циркуляционного насоса, следует спроецировать из точки пересечения кривых вертикальную прямую на ось OХ. Чтобы определить избыточное давление насоса, из точки пересечения следует провести горизонтальную линию на ось OY. Далее определяют избыточное давление по формуле:
где: ∆p — избыточное давление насоса; h — напор, создаваемый насосом (фт); D— плотность жидкости. Любой фактор, изменяющий сопротивление потока жидкости распределительной системы, заставляет кривую мощности возрастать (повышение сопротивления потока) или выравниваться (снижение сопротивления потока). Как только кривая мощности смещается, координаты точки пересечения изменяются относительно кривой насоса.
Когда зональные клапаны закрыты, кривая системы возрастает (становится круче), перемещая рабочую точку вверх по кривой насоса. При этом возрастает избыточное давление по отношению к зонам, которые остались открытыми. Повышение избыточного давления влечет за собой повышение расхода в этих зонах. В некоторой точке повышенная скорость потока может вызвать шум клапана или магистрали.
Такой звук достаточно неприятен. В некоторых системах повышенное избыточное давление в результате нескольких неработающих зон может частично приоткрыть те зональные клапаны, которые должны быть закрыты. Это вызывает поступление тепла к тем зонам (потребителям), которые в нем не нуждаются. Например, представьте систему, имеющую несколько контуров отопления и отдельный контур, который снабжает теплообменник косвенного нагрева.
Предположим, что все контуры контролируют зональные клапаны. Предполагается, что система ГВС— единственная зона, работающая в летний период. Высокое избыточное давление, создаваемое насосом, при работающей нагрузке по ГВС может привести к просачиванию горячей воды через закрытые зональные клапаны в отопительные контуры. Это особенно нежелательно при работе системы кондиционирования на полную мощность.
Одним из способов сведения к минимуму изменения избыточного давления при открытии и закрытии зональных клапанов является установка циркуляционного насоса со сравнительно «пологой» кривой. На рис. 4 показана кривая такого насоса по сравнению с кривой насоса с большим напором, показаны постепенно поднимающиеся кривые системы, изображающие закрывающиеся зональные клапаны.
Сравним изменения избыточного давления при сдвиге рабочей точки вверх по «плоской» кривой насоса с теми изменениями, которые произошли бы при сдвиге рабочей точки вверх по кривой насоса с большим давлением. В обоих случаях зональные контуры, которые остаются работающими,«чувствуют» возросшее избыточное давление при закрытии других контуров, однако оно намного меньше в системе, где используется циркуляционный насос с пологой кривой.
Если принять во внимание, что чем более пологая кривая, тем лучше, то как должна выглядеть идеальная кривая насоса? В идеале это должна быть ровная горизонтальная линия с некоторым фиксированным значением избыточного давления. Циркуляционный насос с такой кривой смог бы создавать постоянное избыточное давление, несмотря на его расход. К несчастью, ни один центробежный насос с фиксированной скоростью не способен создать такую идеальную кривую.
Однако использование нескольких меньших насосов, работающих параллельно, может создать наиболее приближенную к идеалу модель для систем, работающих при достаточно высоких показателях расхода. Использование циркуляционного насоса с пологой кривой в системах с зональными клапанами не является новшеством. Это было неоднократно описано в специализированной литературе.
Однако и до сих пор при проектировке системы отопления с несколькими зонами иногда допускаются ошибки, касающиеся выбора насоса. При этом часто из-за незнания вышеприведенных фактов насос для системы отопления выбирается исходя из критерия «чем больше, тем лучше». Другой способ ограничения избыточного давления — установка перепускного клапана избыточного давления (рис. 5). Этот клапан работает как клапан сброса давления, что направляет поток к впускной стороне насоса, а не в канализацию.
Как только зональные клапаны закрываются, перепускной клапан срабатывает, тем самым увеличивая движение потока в обход по трубам, не заставляя насос работать при более высоком избыточном давлении, пытаясь продвинуть поток жидкости через более ограниченную распределительную систему. При регулировке перепускного клапана избыточного давления следует зафиксировать ручку (головки) таким образом, чтобы диск начал подниматься с седла при всех открытых зональных клапанах.
Далее следует немного увеличить избыточное давление. Некоторые клапаны оснащены небольшим «окошечком», что позволяет видеть, как клапан начинает отводить поток. Для клапанов, не оснащенных окошечками, избыточное давление в системе при всех работающих зонах можно вычислить, определив напор по рабочей точке и подставив значение в формулу, приведенную выше.
Также дополнительно можно установить датчики давления на подающей и обратной стороне распределительной системы для определения избыточного давления при всех работающих зонах. Желательно перепускные клапаны дифференциального давления устанавливать в любой системе с зональными клапанами или подсистеме, которая включает больше четырех отдельных зон, или где используется циркуляционный насос, мощность которого составляет 1 /25 лошадиных сил.
Также их используют для предотвращения «холостого хода» циркуляционного насоса в системе с несколькими теплоизлучателями с параллельной подводкой труб, что контролируется термостатическими радиаторными клапанами.
Восхваляя достоинства перепускных клапанов избыточного давления, не стоит забывать, что они являются лишь временным решением проблемы. Да, действительно, они предотвращают работу циркуляционного насоса при высоком избыточном давлении и, следовательно, устраняют шум потока и утечку через седло клапана. Однако клапаны делают это путем забора (дросселирования) энергии напора, не уменьшая электропитание циркуляционного насоса.
Это схоже со снижением скорости машины путем торможения вместо того, чтобы отпустить газ. Наиболее оптимальный вариант контроля избыточного давления при закрытых зональных клапанах — снижение скорости циркуляционного насоса. При этом кривая насоса смещается влево и вниз (рис. 6). При открытии и закрытии зональных клапанов кривая системы изменяет свою «крутость», кривая циркуляционного насоса с переменным расходом может быть сдвинута так, как необходимо для поддержания постоянного избыточного давления в работающих зонах.
Работающие зоны не «ощущают» того, что остальные зоны закрыты. Все активные зоны работают при одинаковом расходе и избыточном давлении, несмотря на то, какие зоны отключены. Надежно контролируемый циркуляционный насос работает как устройство, поддерживающее постоянное избыточное давление, независимо от интенсивности потока, проходящего через него. Это насос с «идеальной» кривой, что мы обсуждали раньше.
Насос с переменным расходом предотвращает изменения избыточного давления и снижает количество потребляемой электроэнергии. В настоящий момент на рынке представлены небольшие (бытовые) насосы с переменным расходом, скорость большинства из них регулируется при помощи управляющего сигнала в виде постоянного напряжения 2–10 В или тока 4–20 мА. Остается только разработать простой, дешевый сенсор избыточного давления, который станет «глазами» циркуляционного насоса и будет оповещать, когда и насколько необходимо изменить скорость насоса.
Другой способ изменения скорости циркуляционного насоса основан на температурной разнице в распределительной системе. В этом случае используется контроллер, регулирующий работу насоса для поддержания фиксированного падения температуры в распределительной системе. При закрытых зональных клапанах распределительная система выделяет меньше тепла, а следовательно, снижается температура на участке от подающего коллектора к возвратному.
Температурные датчики контроллера насоса «чувствуют» это изменение в процессе его образования и снижают скорость насоса в соответствии со снижением температуры.
Зональный клапан что это такое
Зональное регулирование с помощью зональных клапанов.
Системами с зональным регулированием называются системы, в которых производится автоматическое регулирование климатических параметров позонно, в зависимости от управляющего органа управления зоны (контроллера или термостата). Каждая зона может быть активной или неактивной независимо от других зон. С помощью такого принципа легко добиться деления помещения на зоны дневного и ночного использования, либо на зоны которые используются время от времени, а также зоны постоянного использования. При этом каждая зона снабжена своим контроллером или комнатным термостатом с таймером, на котором устанавливается желаемая температура в тот или иной отрезок времени в указанном помещении.
Наиболее простая схема представляет собой комнатный термостат, связанный с регулирующим зональным клапаном при помощи электропривода. Клапан открывает, либо закрывает поток теплоносителя в пределах одной зоны отопления. Таким образом достигается требуемый тепловой поток в помещении, что в свою очередь, ведет к достижению наибольшего температурного комфорта и экономии тепла.
Зональный клапан, без сомнения, является наиболее часто используемым контролирующим устройством в системе коммунального и промышленного тепло и водоснабжения. Обычно несколько таких клапанов устанавливаются после (со стороны подачи) циркуляционного насоса системы, как показано на рис. 1
Согласно расчетным условиям нагрузки, все отапливаемые зоны теоретически должны нуждаться в тепле и, таким образом, все зональные клапаны должны открываться одновременно.
В соответствии с потребностями системы существует три типа зональных клапанов:
1 Двухходовые линейные клапаны
2 Трехходовые клапаны с L-образным проходом, предназначенные для переключения потока снизу направо или налево, а также справа или слева вниз.
3 Трехходовые клапаны с байпасом.
Схема с зональным регулированием, в которой применяются исполнительные механизмы различного типа (рис.2):
Приведенная здесь схема представляет собой пример регулирования двух независимых зон, на разных этажах здания. Принцип регулирования данных зон одинаков, однако, реализация этого принципа разная:
Зона A. Представляет собой ветку с небольшой нагрузкой. Она снабжена двухходовым клапаном, который ограничивает проток теплоносителя первичного контура, вызванный работой циркуляционного насоса (данная схема характеризуется пологой регулировочной кривой); для уменьшения влияния данной зоны на поток теплоносителя через другие зоны необходимо устанавливать дифференциальный клапан, который в данном случае играет роль автоматического байпаса.
Зона В. Является более нагруженной и имеет большее гидравлическое сопротивление. В этом случае опытный инсталлятор устанавливает на вторичный контур трехходовой клапан. Это решение позволяет поддерживать постоянный проток через данную часть системы отопления при переменном напоре насоса. Это особенно важно, когда рабочая кривая насоса очень крутая и гидравлическое сопротивление системы высоко.
С точки зрения надежности более оправдано применение двухходовых зональных клапанов.
Однако, необходимо учитывать следующие моменты:
1) избегайте ситуаций когда, остается только одна зона с открытым клапаном; в этом случае весь поток теплоносителя протекает через эту единственную зону, что приводит к возрастанию скорости теплоносителя на данном участке системы отопления, и как следствие, к возникновению гидравлического шума.
2) используйте зональные трехходовые клапаны с коротким временем закрытия; в этом случае сводится к минимуму риск разбалансировки системы и возникновения гидравлического шума.
3) автоматика системы должна прекращать работу насоса в момент когда зональный клапан закрывается; в этом случае также практически полностью отсутствуют гидравлические шумы, и наблюдается небольшая разбалансировка системы, которая происходит в момент остановки циркуляционного насоса.
На рисунке 3 представлена электрическая схема подключения зональных клапанов. В этом случае используется контроллер, регулирующий работу насоса для поддержания фиксированного падения температуры в распределительной системе. При закрытых зональных клапанах распределительная система выделяет меньше тепла, а следовательно, снижается температура на участке от подающего коллектора к возвратному. Температурные датчики контроллера насоса чувствуют это изменение в процессе его образования и снижают скорость насоса в соответствии со снижением температуры. Преимущество данной системы состоит в том, что насос работает только тогда, когда зональные клапаны находятся в открытом состоянии. Когда зональные клапаны находятся в процессе закрытия, микровыключатель отсекает питание от насоса, до тех пор, пока клапан окончательно не перейдет в закрытое положение.
Зональные клапаны с управлением от термостатов (рис.4) (без микропереключателей) обычно устанавливаются на двунаправленном коллекторе, данный коллектор предназначен для панельных систем отопления, эти клапаны ограничивают проток теплоносителя во избежание превышения его допустимой температуры. Данное решение, безусловно, позволяет избежать проблемы перегрева помещения при отключенном комнатном термостате (режим паразитной циркуляции), когда при закрытом зональном клапане возникает проток теплоносителя в указанную зону.Кроме того, используя трехходовые зональные клапаны, мы можем избежать установки дифференциального клапана байпаса с его последующей калибровкой на открытие и обеспечение минимального протока насоса, в момент, когда все зональные клапаны закрыты.
Особенности применения схем с зональным регулированием:
Любое вмешательство в работу каждой из зон приводит к нарушению стабильных условий работы системы в целом и к изменению величин напора и протока в каждой из зон.
Остались вопросы? Не стесняйтесь задавать их: ФОРМА ОБРАТНОЙ СВЯЗИ
Список литературы:
1.В.И.Манюк Справочник по наладке и эксплуатации тепловых сетей. Москва:Стройиздат, 1982.
2.Автоматизация производства и промышленная электроника. Энциклопедия. Под ред. А. И. Берга. и В. А. Трапезника. М.1962-1965гг.
3. Дж. ЗИГЕНТАЙЛЕР. Когда закрыты зональные клапаны. Архив СОК.Рубрика: ОТОПЛЕНИЕ И ГВС, 2005г.№12
4. Системы с зональным регулированием. http://teplo-faq.net
5. Поговорим об арматуре. Р.Ф.Усватов-Усыскин — М.: Vitex, 2005.
6. Трубопроводная арматура с автоматическим управлением. Справочник. Под общей редакцией С.И.Косых. — Л.: Машиностроение, 1982.
Подпишитесь на нашу емей рассылку и всегда будьте в курсе последних поставок и новостей
Зональный клапан — Zone valve
Клапан зоны представляет собой тип специфика клапана используется для управления потоком воды или пара в гидромодулем нагрева или охлаждения системы.
В интересах повышения эффективности и комфорта пассажиров такие системы обычно делятся на несколько зон. Например, в доме первый этаж может обслуживаться одной зоной отопления, а спальни наверху — другой. Таким образом, тепло может быть направлено в основном на основной этаж в течение дня и в основном в спальни ночью, позволяя незанятым помещениям остыть.
Такое зонирование можно осуществить одним из двух способов:
Содержание
Конструкция и работа зонного клапана
Для зонных клапанов с вакуумным или пневматическим управлением термостат обычно включает или выключает давление или вакуум, заставляя подпружиненную резиновую диафрагму перемещаться и приводить в действие клапан. В отличие от электрических зонных клапанов, эти клапаны автоматически возвращаются в положение по умолчанию без приложения какой-либо энергии, а положение по умолчанию обычно «открыто», позволяя теплу течь.
Сложные системы могут использовать некоторые формы автоматизации здания, такие как BACnet или LonWorks, для управления зонными клапанами.
Сравнение с несколькими циркуляционными насосами
Несколько зон могут быть реализованы с использованием нескольких циркуляционных насосов с индивидуальным управлением или одного насоса и нескольких зонных клапанов. У каждого подхода есть свои преимущества и недостатки.
Система с несколькими насосами
Система зональных клапанов
Зональный клапан
Клапан зоны представляет собой тип специфика клапана используется для управления потоком воды или пара в гидромодулем нагрева или охлаждения системы.
В интересах повышения эффективности и комфорта пассажиров такие системы обычно делятся на несколько зон. Например, в доме первый этаж может обслуживаться одной зоной отопления, а спальни наверху — другой. Таким образом, тепло может быть направлено в основном на первый этаж в течение дня и в основном в спальни ночью, позволяя незанятым помещениям остыть.
Такое зонирование можно осуществить одним из двух способов:
Для зонных клапанов с вакуумным или пневматическим управлением термостат обычно включает или выключает давление или вакуум, заставляя подпружиненную резиновую диафрагму перемещаться и приводить в действие клапан. В отличие от электрических зонных клапанов, эти клапаны автоматически возвращаются в положение по умолчанию без применения какой-либо энергии, а положение по умолчанию обычно «открыто», позволяя теплу течь.
Сложные системы могут использовать некоторые формы автоматизации здания, такие как BACnet или LonWorks, для управления зонными клапанами.
Несколько зон могут быть реализованы с использованием нескольких циркуляционных насосов с индивидуальным управлением или одного насоса и нескольких зонных клапанов. У каждого подхода есть свои преимущества и недостатки.















